
★
|
您的位置:
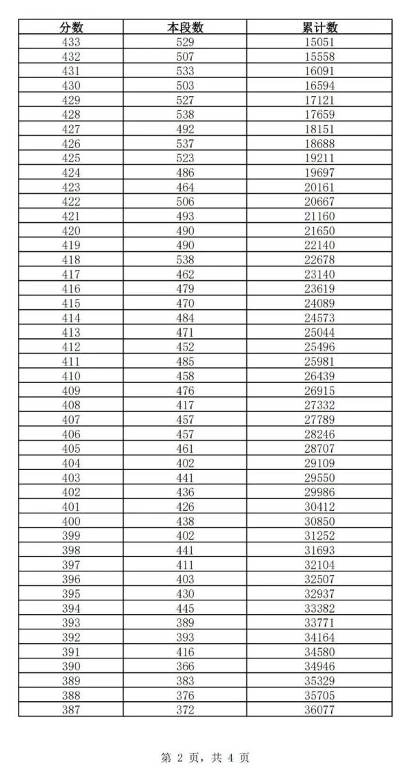
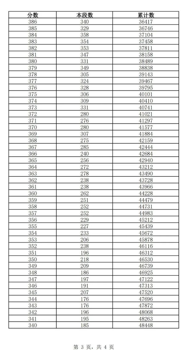
山東技校網 >> 時事熱點 >> 濟南2022年中考成績分段表






信息來源:濟南市教育局

2022年中考相關閱讀 >>
技校網首頁 | 關于技校網 | 技校網廣告服務 | 技校網匯款信息 | 技校網會員服務 | 技校網免責聲明 | 學校列表
濟南 青島 泰安 日照 煙臺 淄博 棗莊 德州 臨沂 聊城 菏澤 濰坊 濟寧 東營 濱州 萊蕪 威海
CopyRight 2006-2017 All rights reserved 版權所有 山東技校網 未經允許 不得復制或鏡像
公安備案號 13024002000224
ICP經營許可證號 冀B2-20170024
網站備案號 冀ICP備11020808號-9